Главный технолог компании «Стратегия 21».
Пивоварение
← Обратно к разделуПлохие парни в вашем пиве. Как бороться с окислением и радикалами?

Пивовар-технолог Владимир Федоров и компания «Стратегия-21» подготовили для портала Profibeer материал о том, что может повлиять на стабильность пива и как ее улучшить.
Знакомство с плохими парнями
Сегодня мы с вами поговорим о насущном. Начнем с того, что сейчас актуально для всех! Для любителей пива: New England IPA, IPA, различных вкусняшек, красивых и охмеленных. Мы расскажем, как же сделать, чтобы все это имело хороший срок годности, а также сохраняло аромат и вкус.
Сперва мы поговорим с вами о том, что же влияет на стабильность вашего пива и затронем вопросы окисления. Для начала нам нужно понять, что такое стабильность. Стабильность — это степень того, насколько состояние пива совпадает в начале срока годности и в конце.
Поговорим об окислении пива, а точнее о том, как его минимизировать. Пиво содержит свои антиоксиданты, например — полифенолы. Полифенолы содержатся в солоде и хмеле. Полифенол свободно отдает свои электроны и тем самым блокирует действие радикалов, но этого недостаточно.
Ещё у нас есть радикалы, или, как мы их называем, — плохие парни. К ним относятся O2, OH, HO2, H2O2 и т.д. Как правило, мы подвергаем наше пиво попаданию кислорода во время сухого охмеления или при неправильном обслуживании бродильных емкостей. Кстати, даже в гранулах хмеля содержится кислород.
Избавиться от радикалов и не допустить окисление пива нам помогают антиоксиданты. Антиоксидант — это восстановитель.

Рассмотрим работу антиоксиданта на схеме выше. Задача антиоксиданта отдать свой свободный (парный) электрон, при этом остаться нейтральным. К антиоксидантам можно отнести аскорбиновую кислоту, калий-метабисульфит и др. Они очень легко отдают свои электроны и становятся нейтральными, при этом радикал принимает электрон и тоже становится нейтральным, тем самым продлевая срок хранения. Главное понимать, что за счет антиоксидантов срок не станет бесконечным. Они лишь могут его немного продлить.
Мы немного освежили в памяти, что же влияет на окисление (старение) пива и рассмотрели механизм работы антиоксидантов. В рамках производственного контроля сдаем анализ воды и обнаруживаем, что в нашей воде тоже есть плохие парни. Это группа металлов реакции Фентона (металлы со сменяемой валентностью) Fe+2, Fe+3, Cu+2 и другие. Они являются катализаторами образования гидроксильных радикалов, поэтому анализ воды является очень важным показателем возможного будущего окисления пива.
Не стоит думать, что если ваша вода из скважины и вам она нравится по вкусу, то значит с ней все хорошо. Многие считают сердцем пивоварни варочный порядок, парогенератор и другие вещи, мое мнение, что сердце пивоварни — ВОДОПОДГОТОВКА.
Следующими плохими парнями являются липазы или липоксигеназы. В процессе затирания в сусле увеличивается количество глицерина и свободных жирных кислот за счет ферментативного гидролиза жиров ферментами липазами. Образовавшиеся ненасыщенные жирные кислоты далее претерпевают ферментативные (под действием липоксигеназы, находящейся в солоде) и окислительные (при участии кислорода) изменения. При этом промежуточные полученные продукты отрицательно сказываются на вкусовой стабильности пива при его хранении. Проще говоря, жирные кислоты в присутствии кислорода и липоксигеназы производят гидропероксид жирной кислоты (очень плохой парень).
Поговорим немного о хлопьях в вашем бокале. Присутствие белков и прочих нежелательных продуктов является наиболее распространенной причиной возникновения мути. В основном в пиве содержатся азотистые вещества со сравнительно высокой молекулярной массой, появление которых связано с гидролизом белковых веществ, содержащихся в солоде и несоложеных материалах. В коллоидных осадках выявляются глобулины (солерастворимые белки), в частности глобулин, который содержит большое количество -SH групп, а также белки, богатые пролином. Проще говоря, то, что мы иногда видим в наших бокалах, это не дрожжи, хоть бармен будет уверять нас в обратном.

Проблемы описаны, как же их решить?
Пивоварение, как самое высокотехнологичное пищевое производство, требует высокоэффективных комплексных мер. Идеальным препаратом, который закрывает вышеописанные проблемы, является Brewtan B.
Что же такое Brewtan B? Это галлотанин со структурой полигаллоилглюкозы, с большой молекулярной массой, высокой степени очистки, необходимой для пивоваренной промышленности. Низкое содержание примесей галловой и дигалловой кислот также дает характеристики полифенола. Brewtan B производят из чернильных орешков.

Brewtan B VS окисление
Brewtan B является восстановителем и легко отдает свои электроны, оставаясь нейтральным, тем самым увеличивая активность противодействия окислению и, следовательно, существенно продлевая срок хранения. Ниже представлена формула самой реакции.

Brewtan B VS Металлы
Остатки металлов реакции Фентона можно удалить современным натуральным препаратом Brewtan B. Он образует комплексные соединения с железом и впоследствии ингибирует реакцию Фентона (схема выше). Брютан является сильнейшим хелетирующим агентом для би- и три-валентных ионов, которые связываются и задерживаются дробиной во время фильтрации.
Brewtan B VS LOX
Следующим открытым вопросом остались липоксигеназы. Конечно, можно пытаться достать солод с ингибированной липоксигеназой, но вряд получится, да и цена на него будет, скорее всего, «космос». Еще один вариант — начинать затирание с температурой выше 60 градусов и приблизить Ph затора к показателям 5.1-5.2. В принципе возможно, но как быть с плохо растворимым солодом и другими проблемами — остается загадкой. Современным решением является ингибирование липоксигиназы, с чем отлично справляется Brewtan B.
Brewtan B VS Белки и пена
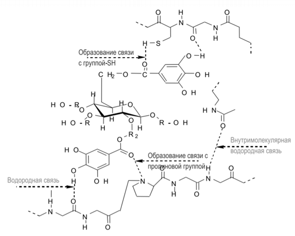
Препарат характеризуется особо высокой молекулярной массой и пренебрежимо малым содержанием примесей. Он фактически мгновенно реагирует с чувствительными к помутнению белками, образуя большие хлопья, которые выпадают в осадок. Препарат связывает только чувствительные белки и не оказывает отрицательного воздействия на пенообразование. Ниже представлена формула реакции.

На схеме ниже можно посмотреть, как и куда добавлять препарат.

В итоге мы получаем комплексный препарат, который позволяет эффективно бороться со всеми вызовами современного пивоварения.
Кратко о препарате:
- ингибирующее действие на LOX энзимы;
- сокращение формирование альдегидов;
- повышение антиоксидантных свойств;
- хелатирующий агент;
- повышение стабильности вкуса и коллоидной стабильности;
- прост в использовании;
- не требует специального оборудования;
- снижение потерь;
- малая дозировка (1-4 г/гл).
P.S. Использование спецпрепаратов ни в коем случае не отменяет мероприятий по борьбе с окислением, а именно:
- смыв НУК после мойки и дезинфекции, продувка СО2 танка и его консервация;
- техника сухого охмеления должна быть разработана так, чтобы кислород воздуха и кислород, содержащийся в грануле хмеля, был переработан дрожжами;
- минимизировать попадание кислорода в готовое пиво;
- любые перекачки пиво должны проходить в среде углекислоты;
Приобрести препарат Brewtan B вы можете, обратившись в нашу компанию по телефону (+78122447200) или на нашем сайте s21shop.ru.
Любите пиво, любите пивоварение!
«Стратегия 21» — поставки сырья для пивоварения
тел: +7 (812) 244-72-00
E-mail: info@strategy21.ru
Итальянский пилз, в уходящем году включённый в руководство по стилям пива Brewers Association, набирает популярность по всему миру. Пивоварам нравится это питкое пиво с интересным хмелевым характером. Однако почётный президент BJCP Гордон Стронг пока не уверен, что этот стиль заслуживает отдельной категории. О своём видении итальянского пилза и перспектив его развития он рассказывает в журнале Brew Your Own.
Только авторизованные пользователи могут оставлять комментарии.
Войти / Зарегистрироваться
Только авторизованные пользователи могут оставлять комментарии.
Войти / Зарегистрироваться